EE 2212
EXPERIMENT 3
21 February 2013
Diode I-V Measurements and Half Wave and Full
Wave Bridge Rectifiers
PURPOSE
Ø Use laboratory
measurements to extract key diode model parameters including IS
,n (also called h or N in SPICE) from the I-V measurements
of the 1N4001.
Ø Modify the default (Dbreak)
SPICE diode model to reflect your measurements and compare and
also compare with the 1N4002 model in
SPICE. All specifications except the PRV
(PIV) should be similar between the 1N4001 (PRV=50 volts) and 1N4002 (PRV=100
volts).
Ø Implement designs of
the half wave rectifier and full wave bridge rectifier circuits and measure
time domain characteristics and the transfer characteristics of each.
Ø Measure and compute
ripple voltage as a percentage and as an rms
value. You can use both the soft-keys on
the oscilloscope or the multimeter
Ø Compare individual
diode results and circuit results using SPICE simulations.
COMPONENTS
Ø 1N4001 Diodes (Use
1N4002 diode model in SPICE as well as the generic “Dbreak”
model)
Ø 1 kW resistors
Ø 0.1 mF, 1mF, and 10mF capacitors Actual values not critical
PROCEDURE
I-V
Characteristics and Diode Model Parameter Extraction
Ø
Using SPICE, simulate
the circuit shown
in Figure 1. Obtain the I-V characteristic curve for both
the 1N4002 and default Dbreak model in SPICE over a range at least of -0.1 to 0.8 volts
and find the diode current value for each diode when vD
= 0.7 volts. For this, it might be
useful to use a DC voltage sweep in conjunction with a VDC source. In addition,
you will need to change the x-axis
value to be
the voltage across the diode (v+) – (v-) under Plot_Axis
Settings…_Axis Variable…-
Ø
Examine the model characteristics for each
the 1N4002 and the Dbreak in PSPICE, which can be
found by selecting the device and then Edit_Model…_Edit
Instance Model (Text)…
Ø
Construct the circuit. Use two digital multimeters (one to measure ID and another to
measure VD). You could also
use the voltmeter on the power supply and a meter at the cathode and subtract
to get the diode voltage. Note the ID
can also be measured by measuring the voltage across the resistor and
dividing by R. Pay attention to the
diode orientation. The banded side is the cathode end. Change the supply voltage VDC to
adjust ID to the desired current setting, then measure VD.
Take enough readings to accurately define the diode characteristic. You should measure out to ID values of a few mA. Record your results in a data table in both
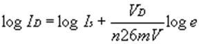
your laboratory notebook and in your laboratory report. Consider the equation
which approximates to
when the diode is
forward biased. To facilitate graphing
over a number of orders of magnitude we obtain,
Note
that log(base 10) e = 0.434
Ø
From this equation, determine and fit a straight line
(linear regression) to your plotted I-V semi-log graph. Your equation will be
in the form y = mx
+ b
Use these data to modify the default diode (D) model in
your SPICE program. Virtually all calculators have
the linear regression (least squares linear fit) built-in. Be sure you use this modified default Dbreak model for simulating the laboratory results as well
as the 1N4002 model. This is what you
essentially did in Text Problem 3.21.
Half-Wave
Rectifier
Ø
Refer to Figure 2.
Change the from VDC to VSine as a
10 volt peak-to-peak
100 Hz sinusoid. Perform a SPICE transient analysis simulation
and observe the the half-wave rectification. Also note the offset voltage when you compare
the input and output waveforms. Observe
and plot Vout(t) and the transfer characteristic, Vo vs
VSine.
Ø
Experimentally observe the operation on the oscilloscope
in both the time domain and as a transfer function.
Ø
Now we want to “smooth out” the pulsating DC by using capacitors.
Ø
Place a C across the 1 kΩ
resistor. Now use all three values of C
to illustrate the change in the ripple voltage by measuring Vout(t). Use the ”Measure” menu on the oscilloscope to measure the rms
voltage of the output using dc and ac coupling.
Explain the differences in these measurements and explain what these
measurements are illustrating. Use your
diode model and check your lab measurements using SPICE. Observe that ripple voltage is defined as
either the (DV/Vpeak)
x 100% or as(Vrms or as Vrms of the output voltage/Vpeak
)x 100%. Watch your polarity on the
electrolytic capacitors you may use.
Also, since electrolytic capacitors have a broad tolerance, their values
must be checked on the capacitance meter
to obtain accurate results. I
will demonstrate the operation of the capacitance meter.
Diode-Bridge
Full-Wave Rectifier
Ø
Construct the circuit shown in Figure 3. Note that to provide a floating input from
the signal generator which has one side grounded , we
will use a transformer to provide isolation.
Do not monitor the input of the bridge with the oscilloscope because you
will automatically ground (that is short circuit) one side of the circuit.
Monitor the input on the signal generator side of the circuit. (Brown and blue
transformer primary winding). Also
observe how this floating input is modeled in SPICE.

Ø Input Vs as a 10 volt
peak-to-peak 100 Hz sinusoid. Observe and plot Vo(t)
and the transfer characteristic, Vo vs Vs. Compare your results
with what would be expected for an ideal diode bridge. Explain why this circuit would function as an
“absolute value” function system.
Ø
Now use the three values of C to illustrate and measure
the change in ripple voltages by measuring Vo(t). Use the ”Measure”
menu on the oscilloscope to measure the
rms voltage of the output using dc and ac
coupling. Explain the differences in these measurements
and explain what these measurements are illustrating. Use your diode model and check your lab
measurements using SPICE.
Ø
Compare your full-wave rectifier results with the
half-wave rectifier circuits.
(An added historical note: The background screen is a photo of a “cat
whisker” diode used as an AM radio detector in the 1905-1920 era of early radio
before the widespread use of vacuum tubes.
A sharp springy wire (cat whisker) formed a pressure junction with a
galena crystal. Galena is PbS (lead sulfide) and has a bandgap of about 0.4 eV. Of course, the underlying physics was
unknown at the time. Primitive, but it did
work-sort of. A reincarnation of this
was used by soldiers in World War II in what is called a “foxhole radio”. The junction for detection of strong AM radio
signals was a sharp wire contacting a “blue edge razor blade to form a
crude junction. The “bluing process on the single edge razor
blade of the time creates a difference in the work functions between the wire and the metal razor which results in
a rectifying junction.

A Classic
